Упр.606 ГДЗ Макарычев Миндюк 9 класс (Алгебра)

Решение #1

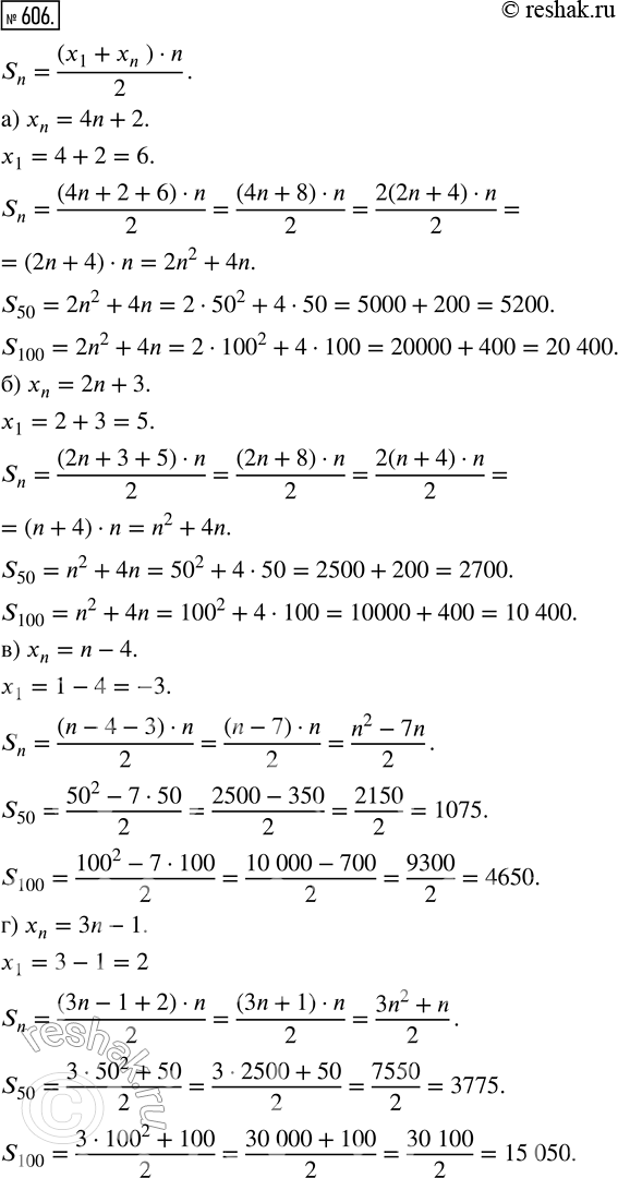
Изображение 606. Найдите сумму первых пятидесяти, ста, п членов последовательности (xn), если:а) хn = 4n + 2;б) хn = 2n + 3;в) хn = n - 4;г) хn = Зn -...

Решение #2

Изображение 606. Найдите сумму первых пятидесяти, ста, п членов последовательности (xn), если:а) хn = 4n + 2;б) хn = 2n + 3;в) хn = n - 4;г) хn = Зn -...
Дополнительное изображение

Решение #3

Изображение 606. Найдите сумму первых пятидесяти, ста, п членов последовательности (xn), если:а) хn = 4n + 2;б) хn = 2n + 3;в) хn = n - 4;г) хn = Зn -...
Загрузка...

Рассмотрим вариант решения задания из учебника Макарычев, Миндюк, Нешков 9 класс, Просвещение:
606. Найдите сумму первых пятидесяти, ста, п членов последовательности (xn), если:
а) хn = 4n + 2;
б) хn = 2n + 3;
в) хn = n - 4;
г) хn = Зn - 1.
*Цитирирование задания со ссылкой на учебник производится исключительно в учебных целях для лучшего понимания разбора решения задания.
*размещая тексты в комментариях ниже, вы автоматически соглашаетесь с пользовательским соглашением