Упр.604 ГДЗ Макарычев Миндюк 9 класс (Алгебра)
Решение #1
Решение #2

Рассмотрим вариант решения задания из учебника Макарычев, Миндюк, Нешков 9 класс, Просвещение:
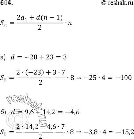
604. Найдите сумму первых восьми членов арифметической прогрессии:
а) -23; -20; ... ; б) 14,2; 9,6; ... .
*размещая тексты в комментариях ниже, вы автоматически соглашаетесь с пользовательским соглашением