Упр.601 ГДЗ Макарычев Миндюк 9 класс (Алгебра)
Решение #1
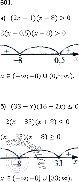
Решение #2

Рассмотрим вариант решения задания из учебника Макарычев, Миндюк, Нешков 9 класс, Просвещение:
601. Решите неравенство:
а) (2х- 1)(х + 8) > 0; б) (33 - x)(16 + 2x) <= 0.
*размещая тексты в комментариях ниже, вы автоматически соглашаетесь с пользовательским соглашением