Упр.826 ГДЗ Макарычев Миндюк 9 класс (Алгебра)
Решение #1
Решение #2

Рассмотрим вариант решения задания из учебника Макарычев, Миндюк, Нешков 9 класс, Просвещение:
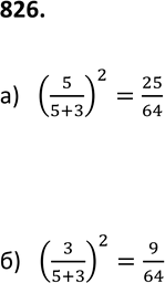
826 В мешке находится 5 белых шаров и 3 чёрных. Из мешка наугад вынимают один шар. Его цвет записывают, шар возвращают в мешок и шары перемешивают. Затем снова из мешка вынимают один шар. Какова вероятность того, что оба раза будут вынуты:
а) белые шары; б) чёрные шары?
*размещая тексты в комментариях ниже, вы автоматически соглашаетесь с пользовательским соглашением