Упр.576 ГДЗ Макарычев Миндюк 9 класс (Алгебра)
Решение #1
Решение #2

Рассмотрим вариант решения задания из учебника Макарычев, Миндюк, Нешков 9 класс, Просвещение:
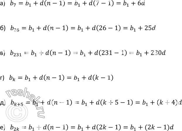
576. Последовательность (bn) — арифметическая прогрессия, первый член которой равен b1, а разность равна d. Выразите через b1 и d:
а) b7;
б) b26;
в) b231;
г) bk;
д) bk+5;
е) b2k.
*размещая тексты в комментариях ниже, вы автоматически соглашаетесь с пользовательским соглашением