Упр.396 ГДЗ Макарычев Миндюк 9 класс (Алгебра)
Решение #1
Решение #2

Рассмотрим вариант решения задания из учебника Макарычев, Миндюк, Нешков 9 класс, Просвещение:
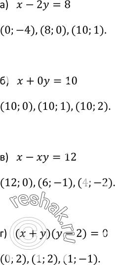
396. Найдите три каких-нибудь решения уравнения:
а) х-2у = 8;
б) х + 0у = 10;
в) х-ху= 12;
г) (х + у)(у- 2) = 0.
*размещая тексты в комментариях ниже, вы автоматически соглашаетесь с пользовательским соглашением