Упр.281 ГДЗ Макарычев Миндюк 9 класс (Алгебра)
Решение #1
Решение #2

Рассмотрим вариант решения задания из учебника Макарычев, Миндюк, Нешков 9 класс, Просвещение:
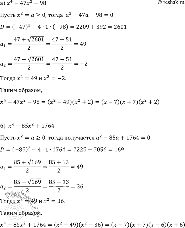
281 Разложите на множители трёхчлен:
а) х4 - 47х2 - 98;
б) х4 - 85х2 + 1764.
*размещая тексты в комментариях ниже, вы автоматически соглашаетесь с пользовательским соглашением