Упр.1003 ГДЗ Макарычев Миндюк 9 класс (Алгебра)
Решение #1
Решение #2
Решение #3

Рассмотрим вариант решения задания из учебника Макарычев, Миндюк, Нешков 9 класс, Просвещение:
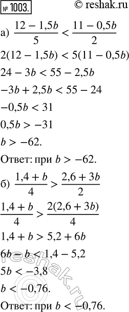
1003. При каких значениях b:
а) значения дроби 12-1,5b/5 меньше соответствующих значений дроби 11-0,5b/2;
б) значения дроби 1,4b/4 больше соответствующих значений дроби 2,6+3b/2;
в) значения дроби 6b-1/b не превосходят значений дроби 16-2b/9-b?
*размещая тексты в комментариях ниже, вы автоматически соглашаетесь с пользовательским соглашением