Упр.619 ГДЗ Алимов 10-11 класс (Алгебра)
Решение #1
Решение #2

Рассмотрим вариант решения задания из учебника Алимов, Колягин, Ткачёва 10 класс, Просвещение:
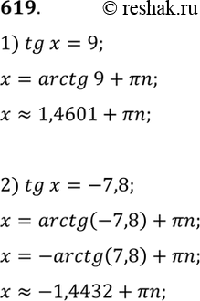
619 С помощью микрокалькулятора решить уравнение:
1) tg х = 9;
2) tgx = -7,8.
*размещая тексты в комментариях ниже, вы автоматически соглашаетесь с пользовательским соглашением