Упр.603 ГДЗ Алимов 10-11 класс (Алгебра)
Решение #1
Решение #2

Рассмотрим вариант решения задания из учебника Алимов, Колягин, Ткачёва 10 класс, Просвещение:
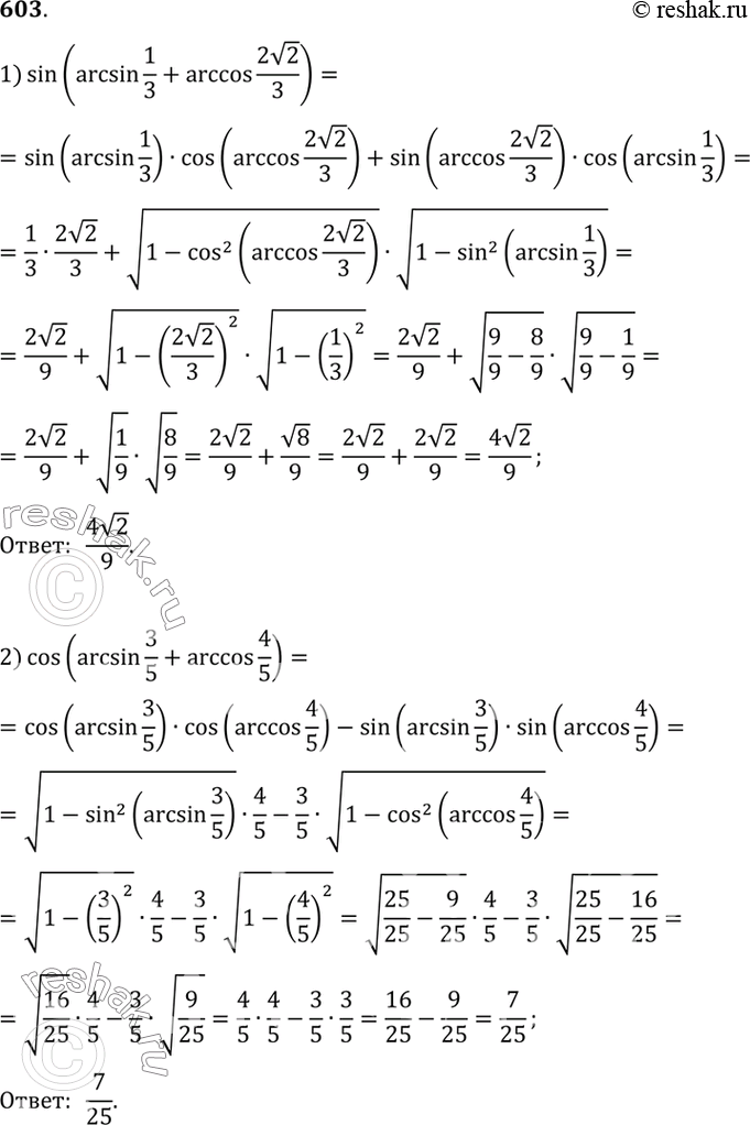
603 1) sin(arcsin1/3+arccos 2корень2/3);
2) cos(arcsin3/5+arccos4/5).
*размещая тексты в комментариях ниже, вы автоматически соглашаетесь с пользовательским соглашением