Упр.627 ГДЗ Колягин Ткачёва 7 класс (Алгебра)
Решение #1

Рассмотрим вариант решения задания из учебника Колягин, Ткачёва, Фёдорова 7 класс, Просвещение:
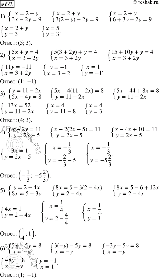
627. Решить систему уравнений:
1) {(x=2+y
3x-2y=9)+
2) {(5x+y=4
x=3+2y)+
3) {(y=11-2x
5x-4y=8)+
4) {(x-2y=11
y=2x-5)+
5) {(y=2-4x
8x=5-3y)+
6) {(3x-5y=8
x=-y )+
*размещая тексты в комментариях ниже, вы автоматически соглашаетесь с пользовательским соглашением