Упр.214 ГДЗ Колягин Ткачёва 9 класс (Алгебра)
Решение #1

Рассмотрим вариант решения задания из учебника Колягин, Ткачёва, Фёдорова 9 класс, Просвещение:
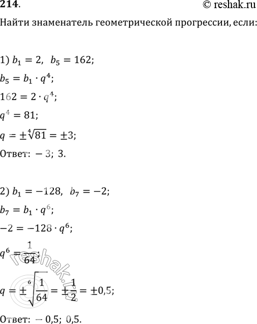
214. Найти знаменатель геометрической прогрессии, если:
1) b_1=2, b_5=162; 2) b_1=-128, b_7=-2;
3) b_1=3, b_4=81; 4) b_1=250, b_4=-2.
*размещая тексты в комментариях ниже, вы автоматически соглашаетесь с пользовательским соглашением