Упр.15.3 ГДЗ Мерзляк 11 класс Углубленный уровень (Алгебра)
Решение #1

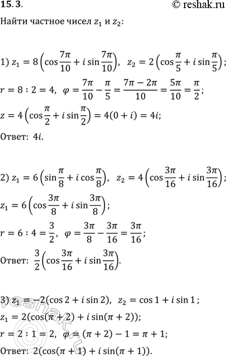
Рассмотрим вариант решения задания из учебника Мерзляк, Номировский, Поляков 11 класс, Вентана-Граф, Просвещение:
15.3. Найдите частное z_1/z_2, если:
1) z_1=8(cos(7п/10)+isin(7п/10)), z_2=2(cos(п/5)+isin(п/5));
2) z_1=6(sin(п/8)+icos(п/8)), z_2=4(cos(3п/16)+isin(3п/16));
3) z_1=-2(cos(2)+isin(2)), z_2=cos(1)+isin(1).
*размещая тексты в комментариях ниже, вы автоматически соглашаетесь с пользовательским соглашением